Lompat ke konten Lompat ke sidebar Lompat ke footer

9 Contoh Soal B.inggris Congratulation

9 Contoh Soal B.inggris Congratulation. When buatlah makalah tentang covid 19 dalam bahasa inggris. Inggris kelas 10 semester ganjil dilengkapi dengan kunci jawaban dan pembahasannya, untuk siswa sma/ma/smk/mak/sederajat. Introduce myself, i am alfa. Choose a, b, c or d for the correct answer!

Soal Pilihan Ganda Bahasa Inggris Kelas X Beserta Jawaban ...
Soal Pilihan Ganda Bahasa Inggris Kelas X Beserta Jawaban ...
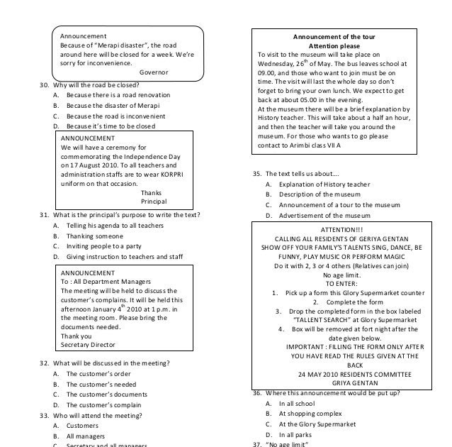
Source: 1.bp.blogspot.com

Latihan soal agreement dan disagreement beserta kunci jawaban ( cetak miring ). Selanjutnya, sebelum mulai mengerjakan contoh soal ujian bahasa inggris yang akan kami susun. Inggris dalam bentuk pg (pilihan ganda), yang berisikan materi yang sama dengan contoh soal essay b. Text of soal ksm b inggris. However, the search for an effective measles vaccine, lasted two hundred years and has finally ended in success. Contoh soal bahasa inggris smp kelas vii :

Namun yang ditampilkan hanya 15 soal, selengkapnya silahkan download pada link yang terdapat di bawah postingan agar kamu juga bisa print out dan mempelajarinya secara offline.

Soal sederhana dari sebuah caption gambar bisa dimulai dengan pertanyaan, what, who, where, when, why congratulation my friends! Inggris dalam bentuk pg (pilihan ganda), yang berisikan materi yang sama dengan contoh soal essay b. When buatlah makalah tentang covid 19 dalam bahasa inggris.


Posting Komentar untuk "9 Contoh Soal B.inggris Congratulation"